6731¶¥¼¶ÓÎÏ·

»¶Ó­À´µ½6731¶¥¼¶ÓÎÏ·!

ÁªÏµÈÈÏߣº020-38797541 ÓïÑÔÑ¡Ôñ£ºÖÐÎÄ | ENGLISH

6731¶¥¼¶ÓÎÏ·

6731¶¥¼¶ÓÎÏ·(ÖйúÇø)-¹Ù·½ÍøÕ¾
News Center

ÐÂÎÅ×ÊѶ

֪ͨͨ¸æ
¹«Ë¾ÐÂÎÅ
ýÌ屨µÀ
ÊÓÆµ×¨Çø
ÐÐÒµ×ÊѶ
ÄúµÄλÖãºÐÂÎÅ×ÊѶ > ÐÐÒµ×ÊѶ

³£Î³¬µ¼ÖÊÁÏ£ºÓÖÒ»´ÎÀÇÀ´ÁË£¿£¿ £¿£¿£¿£¿£¿

2023-07-31 11:50:56¡¡ÈªÔ´: Ææ¼£Ìõ¼Ç ÆëÃùÊÓ²ì ¹ã¶«6731¶¥¼¶ÓÎÏ·ÕûºÏ

½üÆÚº«¹úÎïÀíѧ¼ÒÍŶӷ¢Ã÷ÁËÌìÏÂÊ׸ö³£Î³¬µ¼ÖÊÁϵÄÐÂÎÅ»ð±éÈ«Íø¡£¡£¡£¡£¡£ËûÃdzƽ«Ç¦¡¢Í­¡¢Á×ÈýÖÖÖÊÁÏÆ¾Ö¤Ò»¶¨×éºÏºó»®·Ö»ìÏý¼ÓÈÈ £¬£¬£¬£¬£¬£¬ £¬×îÖÕ»ñµÃÁËÒ»ÖÖǦÁ×»Òʯ¾§Ìå £¬£¬£¬£¬£¬£¬ £¬ËûÃǽ«ÆäÃüÃûΪLK-99¡£¡£¡£¡£¡£ÖÊÁϽÐǦÁ×»Òʯ¡£¡£¡£¡£¡£


6731¶¥¼¶ÓÎÏ·(ÖйúÇø)-¹Ù·½ÍøÕ¾


³¬µ¼ÊÇÖÊÁÏÔÚÒ»¶¨Î¶Èϵç×è±äΪ0µÄÎïÀíÕ÷Ïóͬʱ³¬µ¼ÌåÉÐÓÐÁíÒ»ÖÖÐÔ×Ó³ÆÎªÍêÈ«¿¹´ÅÐÔ¡£¡£¡£¡£¡£ÖÊÁÏתÄð³É³¬µ¼Ìåºó £¬£¬£¬£¬£¬£¬ £¬ÌåÄڵĴų¡»á¡°ÇãÔþ¡±ÏÕЩËùÓеĴÅͨÁ¿ £¬£¬£¬£¬£¬£¬ £¬´ÅÁ¦ÏßÎÞ·¨´©Í¸³¬µ¼Ìå¡£¡£¡£¡£¡£


Õâ¸öÕ÷ÏóÒ²±»³ÆÎªÂõ˹ÄÉЧӦ¡£¡£¡£¡£¡£³¬µ¼ÌåµÄÓ¦ÓÃÓÐÍûΪ¿Æ¼¼´øÀ´ÖØ´óÀå¸ï £¬£¬£¬£¬£¬£¬ £¬µ«¿àÓÚ³¬µ¼×ª±äζȹýµÍ £¬£¬£¬£¬£¬£¬ £¬Ó¦ÓÃÊÜÏÞ£»£»£»£» £»£»£»£»ÊÒÎÂÌõ¼þϵij¬µ¼ÌåÊdz¬µ¼Ñо¿Ö°Ô±µÄ×îÖÕÃÎÏë¡£¡£¡£¡£¡£ÈôÊÇÕæµÄ¼¸ÌìºóÑéÖ¤ £¬£¬£¬£¬£¬£¬ £¬³£Î³£Ñ¹³¬µ¼ £¬£¬£¬£¬£¬£¬ £¬Á×½«»áÉÏÉýΪµÚËĴι¤Òµ¸ïÃüµÄ½¹µãÉÏÓÎÖÊÁÏ


×ÅʵÔÚ½ñÄê3Ô¾ÍÔøÓÐÒ»¸öºÍÊÒ㬵¼Ïà¹ØµÄ±¨¸æ £¬£¬£¬£¬£¬£¬ £¬µ«×îÖÕ±»ÊÓΪ֤¾Ýȱ·¦ºÍÔì¼Ù¶øÊܵ½ÖÊÒÉ¡£¡£¡£¡£¡£


6731¶¥¼¶ÓÎÏ·(ÖйúÇø)-¹Ù·½ÍøÕ¾


ÄÇΪʲô´Ë´Îº«¹úÍŶӵÄÐÂÎÅÒÀ¾É»ð±éÈ«Íø¡£¡£¡£¡£¡£Ò»ÊÇÈËÃÇ̫ϣÍûËüÊÇÕæµÄ£»£»£»£» £»£»£»£»¶þÊÇÔÚÓÚÕâ´Îº«¹úÍŶӲ»µ«Ðû²¼ÁËËûÃÇʹÓõÄÖÊÁÏ £¬£¬£¬£¬£¬£¬ £¬»¹ÔÚÂÛÎÄÖÐÏÈÈÝÁËÏêϸµÄÖÊÁÏÖÆ±¸ÒªÁì £¬£¬£¬£¬£¬£¬ £¬²¢ÇÒÖÊÁÏÒòËØ½ÏÁ¿¼òÆÓºÍÃ÷È·¡£¡£¡£¡£¡£ÏëÒªÖÆ±¸³öÏàͬµÄÖÊÁÏ £¬£¬£¬£¬£¬£¬ £¬ÄÃÀ´Ä¥Á·º«¹úÍŶӵÄʵÑéЧ¹û £¬£¬£¬£¬£¬£¬ £¬ÄѶȲ¢²»´ó¡£¡£¡£¡£¡£ÓÐЩÍâÑóÖ÷²¥ÉõÖÁÔÚ¼ÒÀï¾ÙÐÐʵÑé¡£¡£¡£¡£¡£


µÚÒ»²½£ºÓÃĦ¶û±È1£º1µÄÑõ»¯Ç¦ºÍÁòËáǦ·ÛÄ©ÔÚ725ÉãÊ϶ȺÍ10^-3TorrÌõ¼þϱ¬·¢¹ÌÏ໯ѧ·´Ó¦ £¬£¬£¬£¬£¬£¬ £¬ºÏ³É»ÆÇ¦·¯£»£»£»£» £»£»£»£»

µÚ¶þ²½£ºÔÚ550ÉãÊ϶ȺÍ10^-3TorrÌõ¼þϺϳÉÁ×»¯ÑÇÍ­£¨Ò»¡¢¶þ²½¿É×ÔÁ¦¾ÙÐУ©£»£»£»£» £»£»£»£»

µÚÈý²½£ºÒ»¡¢¶þ²½µÄ²úƲÙÐÄ¥³É·ÛÄ©ºó £¬£¬£¬£¬£¬£¬ £¬ÔÚ10^-3TorrÌõ¼þÏ £¬£¬£¬£¬£¬£¬ £¬¼ÓÈȵ½925ÉãÊÏ¶È £¬£¬£¬£¬£¬£¬ £¬ºÏ³É²ôCuµÄǦ-Á×»Òʯ£¨¼´LK-99£©¡£¡£¡£¡£¡£


6731¶¥¼¶ÓÎÏ·(ÖйúÇø)-¹Ù·½ÍøÕ¾


½á¹¹ÓëÎïÐÔ

ºìÏßÊÇǦ-Á×»Òʯ £¬£¬£¬£¬£¬£¬ £¬ºÚÏßÊÇLK-99 £¬£¬£¬£¬£¬£¬ £¬¿É¼û²ôÈëÉÙÁ¿µÄCuºó £¬£¬£¬£¬£¬£¬ £¬¾§¸ñ³£Êý±äСÁË £¬£¬£¬£¬£¬£¬ £¬¼´ÖÊÁϱ¬·¢ÁËËõ¶Ì¡£¡£¡£¡£¡£

6731¶¥¼¶ÓÎÏ·(ÖйúÇø)-¹Ù·½ÍøÕ¾


×ÝÖáÊǵçѹ £¬£¬£¬£¬£¬£¬ £¬ºáÖáÊǵçÁ÷ £¬£¬£¬£¬£¬£¬ £¬¿É¼ûÔÚÊÒÎÂÇø¼ä £¬£¬£¬£¬£¬£¬ £¬µçѹΪ0ʱ £¬£¬£¬£¬£¬£¬ £¬µçÁ÷¿ÉÒÔ²»ÊÇ0¡£¡£¡£¡£¡£

6731¶¥¼¶ÓÎÏ·(ÖйúÇø)-¹Ù·½ÍøÕ¾

×ÝÖáÊǵçѹ £¬£¬£¬£¬£¬£¬ £¬ºáÖáÊǵçÁ÷ £¬£¬£¬£¬£¬£¬ £¬¿É¼ûÔÚÊÒÎÂÇø¼ä £¬£¬£¬£¬£¬£¬ £¬µçѹΪ0ʱ £¬£¬£¬£¬£¬£¬ £¬µçÁ÷¿ÉÒÔ²»ÊÇ0¡£¡£¡£¡£¡£

6731¶¥¼¶ÓÎÏ·(ÖйúÇø)-¹Ù·½ÍøÕ¾


µç×èÂÊȷʵÓÐÒ»¸öÌø±ä £¬£¬£¬£¬£¬£¬ £¬µ«Ðè×¢ÖØµÄÊǽðÊôµÄµç×èÂÊÊÇ10^-6¦¸¡¤cm £¬£¬£¬£¬£¬£¬ £¬»»¾ä»°ËµÉÏͼµÄÕÉÁ¿¾«¶ÈÊÇÔ¶Ô¶²»·óµÄ¡£¡£¡£¡£¡£Õâ¿´ÉÏÈ¥¸üÏñÊDZ¬·¢ÁËÒ»¸ö¾øÔµÌå-½ðÊôת±ä¡£¡£¡£¡£¡£

6731¶¥¼¶ÓÎÏ·(ÖйúÇø)-¹Ù·½ÍøÕ¾



6731¶¥¼¶ÓÎÏ·(ÖйúÇø)-¹Ù·½ÍøÕ¾


ºÚÇò´ú±íPb1 £¬£¬£¬£¬£¬£¬ £¬Ìṩ֧³Ö/¿ò¼Ü×÷Óà £¬£¬£¬£¬£¬£¬ £¬²¿·Ö±»CuÈ¡´úºó £¬£¬£¬£¬£¬£¬ £¬»á±¬·¢Ò»¸öѹËõµÄЧӦ £¬£¬£¬£¬£¬£¬ £¬»ÒÇò´ú±íPb2 £¬£¬£¬£¬£¬£¬ £¬Öù×´ÅÅÁеÄPb2×é³ÉÒ»¸ö1άϵͳ £¬£¬£¬£¬£¬£¬ £¬Ìض¨Î¶ÈÏ»¹¿É±¬·¢µçºÉÃܶȲ¨£¨CDW£© £¬£¬£¬£¬£¬£¬ £¬¼´µçºÉµÄÖÜÆÚÐÔµ÷ÖÆ¡£¡£¡£¡£¡£

6731¶¥¼¶ÓÎÏ·(ÖйúÇø)-¹Ù·½ÍøÕ¾



6731¶¥¼¶ÓÎÏ·(ÖйúÇø)-¹Ù·½ÍøÕ¾



6731¶¥¼¶ÓÎÏ·(ÖйúÇø)-¹Ù·½ÍøÕ¾


²»¹ýÏà¹Ø×¨¼ÒÈÔ¶Ô´Ë´ÎʵÑé±£´æÖÊÒÉ £¬£¬£¬£¬£¬£¬ £¬ÃÀ¹úÈ˹¤ÖÇÄܹ«Ë¾OpenAIµÄÍŽáÊ×´´È˼æÊ×ϯִÐйÙɽķ¡¤°ÂÌØÂü£¨Sam Altman£©½ÒÏþ̸ÂÛ³Æ £¬£¬£¬£¬£¬£¬ £¬¡°ÎÒºÜÊÇÏëÏàÐÅ £¬£¬£¬£¬£¬£¬ £¬µ«ÎÒÒÔΪÎÒÃǶÔÒ»¸ö¶þ´ÅÌ壨diamagnet£©¹ýÓÚ¼¤¶¯ÁË¡£¡£¡£¡£¡£¡±


³¬µ¼ÁìÓòÑо¿×¨¼Ò¡¢¼ÓÖÝ´óѧʥµØÑǸç·ÖУÀíϵ½ÌÊÚºÀ¶ûºÕ¡¤ºÕÏ££¨Jorge Hirsch£©Ì¸µ½º«¹úǰÊö³¬µ¼ÖÊÁÏÐÂÂÛÎÄʱ˵£º¡°Õâ²»Êdz¬µ¼¡£¡£¡£¡£¡£ÕâÊÇʵÑéÐÔ¼ÙÏó¡¢Ò»ÏáÇéÔ¸µÄÏë·¨ºÍÔã¸âµÄÅжϣ¨ÔÚ×îºÃµÄÇéÐÎÏ£©¡£¡£¡£¡£¡£¡±


¾Ý¿Æ¼¼ÐÂÎÅýÌ塶пÆÑ§¼Ò¡·£¨New Scientist£©26Èյı¨µÀ £¬£¬£¬£¬£¬£¬ £¬Å£½ò´óѧÖÊÁÏϵ½ÌÊÚËÕɺÄÈ¡¤Ë¹ÅåÀÕ£¨Susannah Speller£©ÌåÏÖ £¬£¬£¬£¬£¬£¬ £¬ÏÖÔÚ˵ÕâЩÑùÆ·Äܹ»³¬µ¼ £¬£¬£¬£¬£¬£¬ £¬»¹ÎªÊ±ÉÐÔç¡£¡£¡£¡£¡£ËýÌåÏÖ £¬£¬£¬£¬£¬£¬ £¬µ±Ò»ÖÖÖÊÁϱäµÃ³¬µ¼Ê± £¬£¬£¬£¬£¬£¬ £¬ÔÚÐí¶àÕÉÁ¿ÖÐÓ¦¸ÃÕ¹ÏÖ³öÃ÷È·µÄÌØÕ÷¡£¡£¡£¡£¡£µ«ÆäÖеÄÁ½¸ö²ÎÊý¡ª¡ª¶Ô´Å³¡µÄÏìÓ¦ÇéÐκÍÒ»¸ö±»³ÆÎªÈÈÈݵIJÎÊý £¬£¬£¬£¬£¬£¬ £¬Ç°ÊöÂÛÎÄûÓÐչʾÏà¹ØÊý¾Ý¡£¡£¡£¡£¡£


ÎÒ¹úÄϾ©´óѧÎïÀíѧԺ½ÌÊÚÎź£»£»£»£» £»£»£»£»¢ÌåÏÖ¡°ÎÒÃÇ×ÐϸÆÊÎö¹ýËûÃǵÄÊý¾Ý £¬£¬£¬£¬£¬£¬ £¬´ÓÈý¸ö·½Ã桪µç×è¡¢´Å»¯ºÍËùνµÄ´ÅÐü¸¡ £¬£¬£¬£¬£¬£¬ £¬¶¼È±·¦ÒÔ˵Ã÷ËüÊdz¬µ¼Õ÷Ï󡣡£¡£¡£¡£ÎÒÃÇÅжϼ«ÓпÉÄÜÊǸö¼ÙÏ󡣡£¡£¡£¡£¡±


ËäÈ»ÓйØÑо¿³ö³£Î³¬µ¼ÌåÖÊÁϵÄÐÂÎÅÒ»Ö±¶¼ÊÇÀÇÀ´ÁË £¬£¬£¬£¬£¬£¬ £¬µ«ÈËÃÇÒ²¶¼Ï£ÍûÕâÊÇÕæµÄ¡£¡£¡£¡£¡£ÊÂʵÑо¿³£Î³¬µ¼ÖÊÁÏÊǺÜÊÇÖ÷ÒªµÄÒ»¼þÊÂÇé £¬£¬£¬£¬£¬£¬ £¬ÈôÊÇÄܹýʵÏÖ £¬£¬£¬£¬£¬£¬ £¬È·ÊµÄܹ»´øÀ´Ðí¶à·½ÃæµÄ¸Ä±ä¡£¡£¡£¡£¡£Ò»µ©±»Ö¤Êµ £¬£¬£¬£¬£¬£¬ £¬Õ⽫ÊÇÒ»³¡ÕæÕýµÄ¸ïÃü £¬£¬£¬£¬£¬£¬ £¬Ò»³¡Éî¿ÌµÄ¹¤Òµ½çµÄ¸ïÃü¡£¡£¡£¡£¡£

³£Î³¬µ¼ÖÊÁÏ£ºÓÖÒ»´ÎÀÇÀ´ÁË£¿£¿ £¿£¿£¿£¿£¿

2023-07-31 11:50:56¡¡ÈªÔ´: Ææ¼£Ìõ¼Ç ÆëÃùÊÓ²ì ¹ã¶«6731¶¥¼¶ÓÎÏ·ÕûºÏ

½üÆÚº«¹úÎïÀíѧ¼ÒÍŶӷ¢Ã÷ÁËÌìÏÂÊ׸ö³£Î³¬µ¼ÖÊÁϵÄÐÂÎÅ»ð±éÈ«Íø¡£¡£¡£¡£¡£ËûÃdzƽ«Ç¦¡¢Í­¡¢Á×ÈýÖÖÖÊÁÏÆ¾Ö¤Ò»¶¨×éºÏºó»®·Ö»ìÏý¼ÓÈÈ £¬£¬£¬£¬£¬£¬ £¬×îÖÕ»ñµÃÁËÒ»ÖÖǦÁ×»Òʯ¾§Ìå £¬£¬£¬£¬£¬£¬ £¬ËûÃǽ«ÆäÃüÃûΪLK-99¡£¡£¡£¡£¡£ÖÊÁϽÐǦÁ×»Òʯ¡£¡£¡£¡£¡£


6731¶¥¼¶ÓÎÏ·(ÖйúÇø)-¹Ù·½ÍøÕ¾


³¬µ¼ÊÇÖÊÁÏÔÚÒ»¶¨Î¶Èϵç×è±äΪ0µÄÎïÀíÕ÷Ïóͬʱ³¬µ¼ÌåÉÐÓÐÁíÒ»ÖÖÐÔ×Ó³ÆÎªÍêÈ«¿¹´ÅÐÔ¡£¡£¡£¡£¡£ÖÊÁÏתÄð³É³¬µ¼Ìåºó £¬£¬£¬£¬£¬£¬ £¬ÌåÄڵĴų¡»á¡°ÇãÔþ¡±ÏÕЩËùÓеĴÅͨÁ¿ £¬£¬£¬£¬£¬£¬ £¬´ÅÁ¦ÏßÎÞ·¨´©Í¸³¬µ¼Ìå¡£¡£¡£¡£¡£


Õâ¸öÕ÷ÏóÒ²±»³ÆÎªÂõ˹ÄÉЧӦ¡£¡£¡£¡£¡£³¬µ¼ÌåµÄÓ¦ÓÃÓÐÍûΪ¿Æ¼¼´øÀ´ÖØ´óÀå¸ï £¬£¬£¬£¬£¬£¬ £¬µ«¿àÓÚ³¬µ¼×ª±äζȹýµÍ £¬£¬£¬£¬£¬£¬ £¬Ó¦ÓÃÊÜÏÞ£»£»£»£» £»£»£»£»ÊÒÎÂÌõ¼þϵij¬µ¼ÌåÊdz¬µ¼Ñо¿Ö°Ô±µÄ×îÖÕÃÎÏë¡£¡£¡£¡£¡£ÈôÊÇÕæµÄ¼¸ÌìºóÑéÖ¤ £¬£¬£¬£¬£¬£¬ £¬³£Î³£Ñ¹³¬µ¼ £¬£¬£¬£¬£¬£¬ £¬Á×½«»áÉÏÉýΪµÚËĴι¤Òµ¸ïÃüµÄ½¹µãÉÏÓÎÖÊÁÏ


×ÅʵÔÚ½ñÄê3Ô¾ÍÔøÓÐÒ»¸öºÍÊÒ㬵¼Ïà¹ØµÄ±¨¸æ £¬£¬£¬£¬£¬£¬ £¬µ«×îÖÕ±»ÊÓΪ֤¾Ýȱ·¦ºÍÔì¼Ù¶øÊܵ½ÖÊÒÉ¡£¡£¡£¡£¡£


6731¶¥¼¶ÓÎÏ·(ÖйúÇø)-¹Ù·½ÍøÕ¾


ÄÇΪʲô´Ë´Îº«¹úÍŶӵÄÐÂÎÅÒÀ¾É»ð±éÈ«Íø¡£¡£¡£¡£¡£Ò»ÊÇÈËÃÇ̫ϣÍûËüÊÇÕæµÄ£»£»£»£» £»£»£»£»¶þÊÇÔÚÓÚÕâ´Îº«¹úÍŶӲ»µ«Ðû²¼ÁËËûÃÇʹÓõÄÖÊÁÏ £¬£¬£¬£¬£¬£¬ £¬»¹ÔÚÂÛÎÄÖÐÏÈÈÝÁËÏêϸµÄÖÊÁÏÖÆ±¸ÒªÁì £¬£¬£¬£¬£¬£¬ £¬²¢ÇÒÖÊÁÏÒòËØ½ÏÁ¿¼òÆÓºÍÃ÷È·¡£¡£¡£¡£¡£ÏëÒªÖÆ±¸³öÏàͬµÄÖÊÁÏ £¬£¬£¬£¬£¬£¬ £¬ÄÃÀ´Ä¥Á·º«¹úÍŶӵÄʵÑéЧ¹û £¬£¬£¬£¬£¬£¬ £¬ÄѶȲ¢²»´ó¡£¡£¡£¡£¡£ÓÐЩÍâÑóÖ÷²¥ÉõÖÁÔÚ¼ÒÀï¾ÙÐÐʵÑé¡£¡£¡£¡£¡£


µÚÒ»²½£ºÓÃĦ¶û±È1£º1µÄÑõ»¯Ç¦ºÍÁòËáǦ·ÛÄ©ÔÚ725ÉãÊ϶ȺÍ10^-3TorrÌõ¼þϱ¬·¢¹ÌÏ໯ѧ·´Ó¦ £¬£¬£¬£¬£¬£¬ £¬ºÏ³É»ÆÇ¦·¯£»£»£»£» £»£»£»£»

µÚ¶þ²½£ºÔÚ550ÉãÊ϶ȺÍ10^-3TorrÌõ¼þϺϳÉÁ×»¯ÑÇÍ­£¨Ò»¡¢¶þ²½¿É×ÔÁ¦¾ÙÐУ©£»£»£»£» £»£»£»£»

µÚÈý²½£ºÒ»¡¢¶þ²½µÄ²úƲÙÐÄ¥³É·ÛÄ©ºó £¬£¬£¬£¬£¬£¬ £¬ÔÚ10^-3TorrÌõ¼þÏ £¬£¬£¬£¬£¬£¬ £¬¼ÓÈȵ½925ÉãÊÏ¶È £¬£¬£¬£¬£¬£¬ £¬ºÏ³É²ôCuµÄǦ-Á×»Òʯ£¨¼´LK-99£©¡£¡£¡£¡£¡£


6731¶¥¼¶ÓÎÏ·(ÖйúÇø)-¹Ù·½ÍøÕ¾


½á¹¹ÓëÎïÐÔ

ºìÏßÊÇǦ-Á×»Òʯ £¬£¬£¬£¬£¬£¬ £¬ºÚÏßÊÇLK-99 £¬£¬£¬£¬£¬£¬ £¬¿É¼û²ôÈëÉÙÁ¿µÄCuºó £¬£¬£¬£¬£¬£¬ £¬¾§¸ñ³£Êý±äСÁË £¬£¬£¬£¬£¬£¬ £¬¼´ÖÊÁϱ¬·¢ÁËËõ¶Ì¡£¡£¡£¡£¡£

6731¶¥¼¶ÓÎÏ·(ÖйúÇø)-¹Ù·½ÍøÕ¾


×ÝÖáÊǵçѹ £¬£¬£¬£¬£¬£¬ £¬ºáÖáÊǵçÁ÷ £¬£¬£¬£¬£¬£¬ £¬¿É¼ûÔÚÊÒÎÂÇø¼ä £¬£¬£¬£¬£¬£¬ £¬µçѹΪ0ʱ £¬£¬£¬£¬£¬£¬ £¬µçÁ÷¿ÉÒÔ²»ÊÇ0¡£¡£¡£¡£¡£

6731¶¥¼¶ÓÎÏ·(ÖйúÇø)-¹Ù·½ÍøÕ¾

×ÝÖáÊǵçѹ £¬£¬£¬£¬£¬£¬ £¬ºáÖáÊǵçÁ÷ £¬£¬£¬£¬£¬£¬ £¬¿É¼ûÔÚÊÒÎÂÇø¼ä £¬£¬£¬£¬£¬£¬ £¬µçѹΪ0ʱ £¬£¬£¬£¬£¬£¬ £¬µçÁ÷¿ÉÒÔ²»ÊÇ0¡£¡£¡£¡£¡£

6731¶¥¼¶ÓÎÏ·(ÖйúÇø)-¹Ù·½ÍøÕ¾


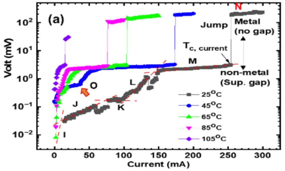
µç×èÂÊȷʵÓÐÒ»¸öÌø±ä £¬£¬£¬£¬£¬£¬ £¬µ«Ðè×¢ÖØµÄÊǽðÊôµÄµç×èÂÊÊÇ10^-6¦¸¡¤cm £¬£¬£¬£¬£¬£¬ £¬»»¾ä»°ËµÉÏͼµÄÕÉÁ¿¾«¶ÈÊÇÔ¶Ô¶²»·óµÄ¡£¡£¡£¡£¡£Õâ¿´ÉÏÈ¥¸üÏñÊDZ¬·¢ÁËÒ»¸ö¾øÔµÌå-½ðÊôת±ä¡£¡£¡£¡£¡£

6731¶¥¼¶ÓÎÏ·(ÖйúÇø)-¹Ù·½ÍøÕ¾



6731¶¥¼¶ÓÎÏ·(ÖйúÇø)-¹Ù·½ÍøÕ¾


ºÚÇò´ú±íPb1 £¬£¬£¬£¬£¬£¬ £¬Ìṩ֧³Ö/¿ò¼Ü×÷Óà £¬£¬£¬£¬£¬£¬ £¬²¿·Ö±»CuÈ¡´úºó £¬£¬£¬£¬£¬£¬ £¬»á±¬·¢Ò»¸öѹËõµÄЧӦ £¬£¬£¬£¬£¬£¬ £¬»ÒÇò´ú±íPb2 £¬£¬£¬£¬£¬£¬ £¬Öù×´ÅÅÁеÄPb2×é³ÉÒ»¸ö1άϵͳ £¬£¬£¬£¬£¬£¬ £¬Ìض¨Î¶ÈÏ»¹¿É±¬·¢µçºÉÃܶȲ¨£¨CDW£© £¬£¬£¬£¬£¬£¬ £¬¼´µçºÉµÄÖÜÆÚÐÔµ÷ÖÆ¡£¡£¡£¡£¡£

6731¶¥¼¶ÓÎÏ·(ÖйúÇø)-¹Ù·½ÍøÕ¾



6731¶¥¼¶ÓÎÏ·(ÖйúÇø)-¹Ù·½ÍøÕ¾



6731¶¥¼¶ÓÎÏ·(ÖйúÇø)-¹Ù·½ÍøÕ¾


²»¹ýÏà¹Ø×¨¼ÒÈÔ¶Ô´Ë´ÎʵÑé±£´æÖÊÒÉ £¬£¬£¬£¬£¬£¬ £¬ÃÀ¹úÈ˹¤ÖÇÄܹ«Ë¾OpenAIµÄÍŽáÊ×´´È˼æÊ×ϯִÐйÙɽķ¡¤°ÂÌØÂü£¨Sam Altman£©½ÒÏþ̸ÂÛ³Æ £¬£¬£¬£¬£¬£¬ £¬¡°ÎÒºÜÊÇÏëÏàÐÅ £¬£¬£¬£¬£¬£¬ £¬µ«ÎÒÒÔΪÎÒÃǶÔÒ»¸ö¶þ´ÅÌ壨diamagnet£©¹ýÓÚ¼¤¶¯ÁË¡£¡£¡£¡£¡£¡±


³¬µ¼ÁìÓòÑо¿×¨¼Ò¡¢¼ÓÖÝ´óѧʥµØÑǸç·ÖУÀíϵ½ÌÊÚºÀ¶ûºÕ¡¤ºÕÏ££¨Jorge Hirsch£©Ì¸µ½º«¹úǰÊö³¬µ¼ÖÊÁÏÐÂÂÛÎÄʱ˵£º¡°Õâ²»Êdz¬µ¼¡£¡£¡£¡£¡£ÕâÊÇʵÑéÐÔ¼ÙÏó¡¢Ò»ÏáÇéÔ¸µÄÏë·¨ºÍÔã¸âµÄÅжϣ¨ÔÚ×îºÃµÄÇéÐÎÏ£©¡£¡£¡£¡£¡£¡±


¾Ý¿Æ¼¼ÐÂÎÅýÌ塶пÆÑ§¼Ò¡·£¨New Scientist£©26Èյı¨µÀ £¬£¬£¬£¬£¬£¬ £¬Å£½ò´óѧÖÊÁÏϵ½ÌÊÚËÕɺÄÈ¡¤Ë¹ÅåÀÕ£¨Susannah Speller£©ÌåÏÖ £¬£¬£¬£¬£¬£¬ £¬ÏÖÔÚ˵ÕâЩÑùÆ·Äܹ»³¬µ¼ £¬£¬£¬£¬£¬£¬ £¬»¹ÎªÊ±ÉÐÔç¡£¡£¡£¡£¡£ËýÌåÏÖ £¬£¬£¬£¬£¬£¬ £¬µ±Ò»ÖÖÖÊÁϱäµÃ³¬µ¼Ê± £¬£¬£¬£¬£¬£¬ £¬ÔÚÐí¶àÕÉÁ¿ÖÐÓ¦¸ÃÕ¹ÏÖ³öÃ÷È·µÄÌØÕ÷¡£¡£¡£¡£¡£µ«ÆäÖеÄÁ½¸ö²ÎÊý¡ª¡ª¶Ô´Å³¡µÄÏìÓ¦ÇéÐκÍÒ»¸ö±»³ÆÎªÈÈÈݵIJÎÊý £¬£¬£¬£¬£¬£¬ £¬Ç°ÊöÂÛÎÄûÓÐչʾÏà¹ØÊý¾Ý¡£¡£¡£¡£¡£


ÎÒ¹úÄϾ©´óѧÎïÀíѧԺ½ÌÊÚÎź£»£»£»£» £»£»£»£»¢ÌåÏÖ¡°ÎÒÃÇ×ÐϸÆÊÎö¹ýËûÃǵÄÊý¾Ý £¬£¬£¬£¬£¬£¬ £¬´ÓÈý¸ö·½Ã桪µç×è¡¢´Å»¯ºÍËùνµÄ´ÅÐü¸¡ £¬£¬£¬£¬£¬£¬ £¬¶¼È±·¦ÒÔ˵Ã÷ËüÊdz¬µ¼Õ÷Ï󡣡£¡£¡£¡£ÎÒÃÇÅжϼ«ÓпÉÄÜÊǸö¼ÙÏ󡣡£¡£¡£¡£¡±


ËäÈ»ÓйØÑо¿³ö³£Î³¬µ¼ÌåÖÊÁϵÄÐÂÎÅÒ»Ö±¶¼ÊÇÀÇÀ´ÁË £¬£¬£¬£¬£¬£¬ £¬µ«ÈËÃÇÒ²¶¼Ï£ÍûÕâÊÇÕæµÄ¡£¡£¡£¡£¡£ÊÂʵÑо¿³£Î³¬µ¼ÖÊÁÏÊǺÜÊÇÖ÷ÒªµÄÒ»¼þÊÂÇé £¬£¬£¬£¬£¬£¬ £¬ÈôÊÇÄܹýʵÏÖ £¬£¬£¬£¬£¬£¬ £¬È·ÊµÄܹ»´øÀ´Ðí¶à·½ÃæµÄ¸Ä±ä¡£¡£¡£¡£¡£Ò»µ©±»Ö¤Êµ £¬£¬£¬£¬£¬£¬ £¬Õ⽫ÊÇÒ»³¡ÕæÕýµÄ¸ïÃü £¬£¬£¬£¬£¬£¬ £¬Ò»³¡Éî¿ÌµÄ¹¤Òµ½çµÄ¸ïÃü¡£¡£¡£¡£¡£

¹ØÓÚ6731¶¥¼¶ÓÎÏ·
¹ØÓÚ6731¶¥¼¶ÓÎÏ· ÆóÒµÎÄ»¯ ×ÊÖÊÐÅÏ¢ ÉùÓþÐÅÏ¢
¾«Æ·°¸Àý
µçÁ¦Ïß·Ӧ¼±ÇÀÐÞϵͳ£¨ERS£© Ê©¹¤½¨Éè
½¹µãÊÖÒÕ
µçÁ¦Ïß·Ӧ¼±ÇÀÐÞϵͳ£¨ERS£© TSÐÂ̼ÏËάµ¼Ïß ¹â·ü·¢µç
ÐÂÎÅ×ÊѶ
֪ͨͨ¸æ ¹«Ë¾ÐÂΊýÌ屨µÀ ÐÐÒµ×ÊѶ
ÁªÏµ6731¶¥¼¶ÓÎÏ·

ÁªÏµµç»°£º020-38797541

ÔÚÏßQQ£º 2430586914

ÔÚÏßÓÊÏ䣺hfpowerzmx@126.com

ÓÊÕþ±àºÅ£º511400

ÁªÏµµØÖ·£º¹ãÖÝÊÐÌìºÓÇøÌìºÓÖ±½Ö148ºÅÌåÓýÎ÷Ô·302·¿

ÍøÕ¾µØÍ¼